Efficient Energy Meeting Questionable
September 11, 2014
Efficient Energy Meeting Questionable
The Harnett County board of commissioners and board of education held a special session meeting this morning to discuss energy saving methods used in Harnett County schools and buildings. The meeting was prompted after Sen. Ron Rabin’s office and other Harnett County state legislators suggested that the county meet with a consultant that could help with reduction of money spent on energy sources throughout county owned buildings.
In most cases, county energy consumption cost is handled at the county level and state legislators are not part of the process when it comes to budgetary details pertaining to these projects. Both Senator Ron Rabin and Rep. David Lewis sent letters to the Harnett County Managers office requesting an update on the ideas that Senator Rabin had shared with the school superintendent Tom Frye the prior year.
Questions Arise About Intent of State Legislators
The Harnett Dispatch spoke with many of the local elected officials that were at the meeting and they expressed concern as to why Senator Ron Rabin and Rep. David Lewis were so interested in setting up a meeting with a for- profit consulting company. One multiple term elected official said this was the first time they had ever seen a State Senator bring in his own consultant to address and county issue. Another elected official said that they find it funny that the State Legislators don’t even show up when it’s the joint county- legislative meeting but Senator Rabin and his staff were on hand and Rep. Lewis had a staff member there.
The Presentation
Chairman Joe Miller called the meeting to order and asked for Senator Ron Rabin to have the floor, Sen Rabin acted confused and stated that he was only there to listen to the presentation. The presenter that Sen. Rabin had lined up to talk at the meeting was Seneca Jacobs a partner of LL&J consultants. Mr. Jacobs explained that he had befriended some of Rabin’s staff member and was grateful for the opportunity to come and speak with the board. Mr. Jacobs went through the process of what his company does and explained some of the details of various projects that he had worked on. During his presentation he explained that the methods used could include new technology used within the lighting systems along with mechanical modifications that reduce energy consumption in many large buildings. He gave several examples of counties that had benefited from the energy program that in return had saved them hundreds of thousands of dollars.
Financing Light Bulbs
The County’s Opposition against
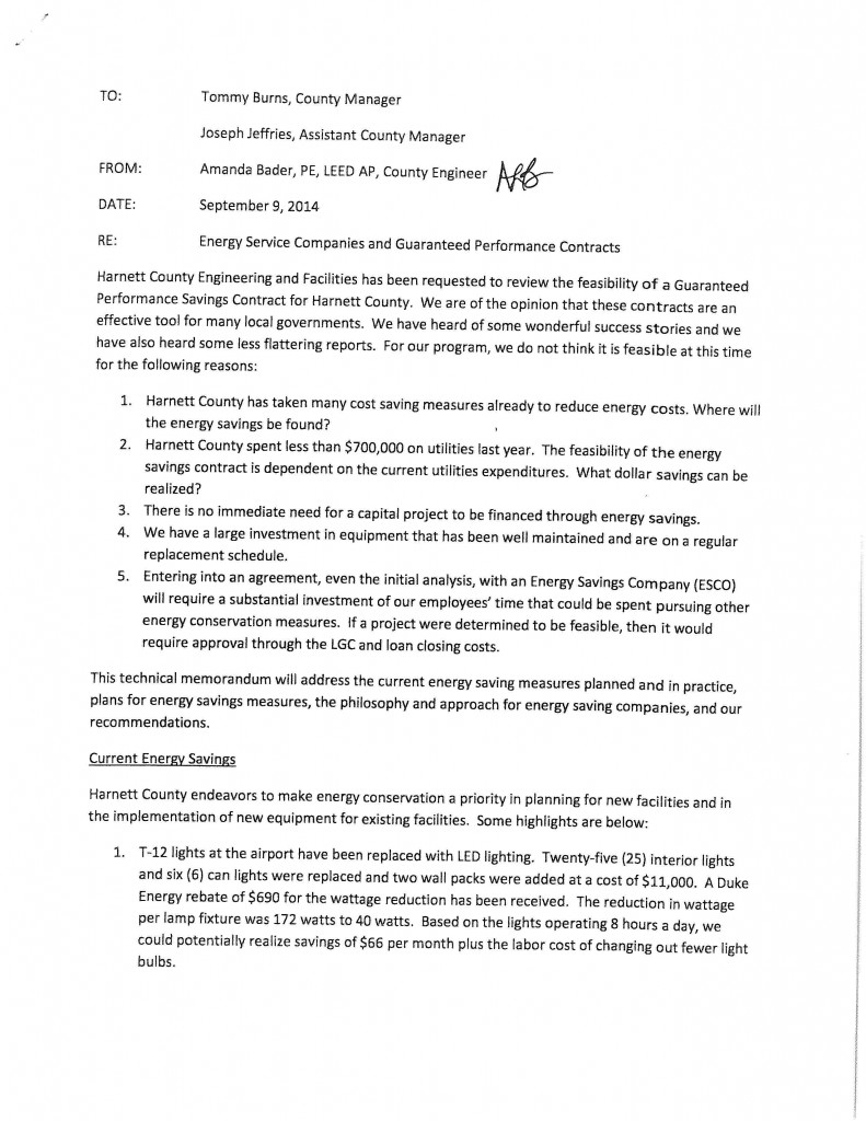
After Mr. Jacobs was done with his presentation County Engineer Amanda Bader gave her assessment on the program and presented a detailed summary…
PLEASE SEE BELOW
After the meeting the board decided to allow the company to give a free estimate for the cost of the project but gave no indication as to approval for project. One Similar project in Wayne County carried a price tag of over 12 million dollars.







